プロジェクト

全般

プロフィール

操作

markdown で数式を書く

参考 web

使用記録

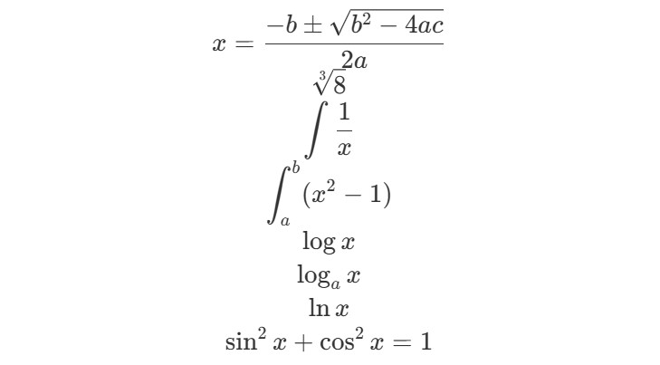
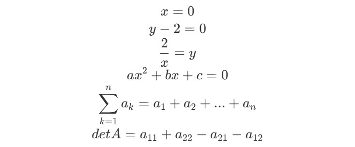
math コードブロック

  • 単純式、分数、指数(上付き文字)、下付き文字、ギリシャ文字

    x = 0 \\
    y - 2 = 0 \\
    \frac {2}{x} = y\\
    ax^2 + bx + c = 0 \\
    \sum_{k=1}^{n}a_k = a_1 + a_2 + ... + a_n\\
    det A = a_{11} + a_{22} - a_{21} - a_{12}
    
    x = 0 \\
    y - 2 = 0 \\
    \frac {2}{x} = y\\
    ax^2 + bx + c = 0 \\
    \sum_{k=1}^{n}a_k = a_1 + a_2 + ... + a_n\\
    det A = a_{11} + a_{22} - a_{21} - a_{12}
    
    • 改行は \\
    • 中央配置は変えられるのか?
  • 特殊な記号

    x = \frac {-b \pm \sqrt {b^2 - 4ac}}{2a}\\
    \sqrt[3] 8\\
    \int \frac {1}{x}\\
    \int_a^b (x^2 - 1)\\
    \log x\\
    \log_a x\\
    \ln x\\
    \sin^2 x + \cos^2 x = 1
    
    x = \frac {-b \pm \sqrt {b^2 - 4ac}}{2a}\\
    \sqrt[3] 8\\
    \int \frac {1}{x}\\
    \int_a^b (x^2 - 1)\\
    \log x\\
    \log_a x\\
    \ln x\\
    \sin^2 x + \cos^2 x = 1
    

インライン

方程式 $ax^2+by+c=0$ の解は $x=\frac {-b \pm \sqrt {b^2-4ac}}{2a}$ で与えられる
方程式 $ax^2+by+c=0$ の解は $x=\frac {-b \pm \sqrt {b^2-4ac}}{2a}$ で与えられる

その他

  • 大きな括弧なども用意してあったので追記したい

  • コードブロックに記載の際に、中央寄せになるのは避けられるか、追加調査したい

    • = をそろえた複数行記載の方法は載っていた (&= を使う)
  • 無限大記号 $\infty$ $\infty$

  • ギリシャ文字 (大文字:バックスラッシュ後の最初を大文字)

    大文字 小文字 記述 読み方
    $\Alpha$ $\alpha$ \alpha アルファ
    $\Beta$ $\beta$ \beta ベータ
    $\Gamma$ $\gamma$ \gamma ガンマ
    $\Delta$ $\delta$ \delta デルタ
    $\Epsilon$ $\epsilon$ \epsilon イプシロン
    $\Zeta$ $\zeta$ \zeta ゼータ
    $\Eta$ $\eta$ \eta イータ
    $\Theta$ $\theta$ \theta シータ
    $\Iota$ $\iota$ \iota イオタ
    $\Kappa$ $\kappa$ \kappa カッパ
    $\Lambda$ $\lambda$ \lambda ラムダ
    $\Mu$ $\mu$ \mu ミュー
    $\Nu$ $\nu$ \nu ニュー
    $\Xi$ $\xi$ \xi グザイ
    $\Omicron$ $\omicron$ \omicron オミクロン
    $\Pi$ $\pi$ \pi パイ
    $\Rho$ $\rho$ \rho ロー
    $\Sigma$ $\sigma$ \sigma シグマ
    $\Tau$ $\tau$ \tau タウ
    $\Upsilon$ $\upsilon$ \upsilon ユプシロン
    $\Phi$ $\phi$ \phi ファイ
    $\Chi$ $\chi$ \chi カイ
    $\Psi$ $\psi$ \psi プサイ
    $\Omega$ $\omega$ \omega オメガ
  • 白抜き文字 (汎用集合等)

    $$
    \mathbb{N, Z, Q, R, C} \\
    \pi \in \mathbb{R} \\
    \pi \notin \mathbb{Q}
    $$ 
    

    $$
    \mathbb{N, Z, Q, R, C} \
    \pi \in \mathbb{R} \
    \pi \notin \mathbb{Q}
    $$

  • 大きな括弧

    $$
    a \Biggl(
    b \biggl(
    c \Bigl(
    d \bigl(
    e ( f + g )
    \bigr)
    \Bigr)
    \biggr)
    \Biggr) \
    a \Biggl[
    b \biggl[
    c \Bigl[
    d \bigl[
    e [ f + g ]
    \bigr]
    \Bigr]
    \biggr]
    \Biggr]
    $$
    

    $$
    a \Biggl(
    b \biggl(
    c \Bigl(
    d \bigl(
    e ( f + g )
    \bigr)
    \Bigr)
    \biggr)
    \Biggr)
    a \Biggl[
    b \biggl[
    c \Bigl[
    d \bigl[
    e [ f + g ]
    \bigr]
    \Bigr]
    \biggr]
    \Biggr]
    $$

  • 全部含む括弧

    $$
    \begin{pmatrix}
    10 \\
    20 \\
    30
    \end{pmatrix}
    $$
    

    $$
    \begin{pmatrix}
    10 \
    20 \
    30
    \end{pmatrix}
    $$

Tatsuya ISHIGAKI さんが5ヶ月前に更新 · 4件の履歴